Alat industri kimia, sebuah engine yang mendukung proses produksi pada industri kimia.
Pada tulisan ini, tujuan utama yang ingin disampaikan diantaranya sedikit informasi untuk para pencari ilmu dalam mempelajari sesuatu sistem industri kimia sederhana.
Alat-alat tersebut diaantaranya :
- Piping facilities
- Pump system
- Compressor
- Evaporator
- Destilator
- Motor bakar
- Mixer
- Piping Facilities
Standar ukuran pipa baja berada pada range diameter : 1/8 – 30 in. Untuk pipa berukuran besar dengan diameter diatas 12 in nilai diameter menyatakan diameter luar pipa. Sedangkan untuk diameter berukuran 3 – 12 in nilai nominal diameter mengacu pada diameter dalam pipa. Dimensi standar pipa diperlihatkan pada Tabel 1.1 berikut :
(Tabel 1.1 Dimensi standar pipa berdasarkan ANSI B36.10-1959 (Warren L Mc.Cabe - Apendix-5))
Istilah-istilah :
- Ukuran standar pipa baja dikenal sebagai IPS (Iron Pipe Size) atau NPS (Normal Pipe Size)
- Outside diameter; diameter pipa luar
- Pipe schedule; Istilah schedule (SCH) ini ditemukan untuk menentukan ketebalan pipa nominal serta menunjukkan keseragaman/ standardiasi dimensi tebal pipa ketika akan membelinya.
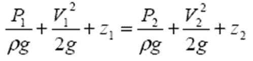
Bila suatu fluida mengalir dari satu titik ke titik lainnya maka aliran fluida tersebut akan menimbulkan energi mekanik yang dapat diekspresikan dengan persamaan Bernoulli [Daniel Bernoulli, 1738] sebagai berikut :
Pada aliran fluida yang mempunyai kekentalan (viscous) maka efek dari gesekan akan menimbulkan adanya perubahan energi dalam (internal energy) pada fluida tersebut, sehingga akan menimbulkan adanya perubahan energi mekanik dari fluida tersebut. Perubahan energi mekanik ini dapat diekspresikan dengan persamaan sebagai berikut :
dimana hLT merupakan headloss total yang terjadi pada saluran aliran fluida. Headloss total ini didapat dari penjumlahan headloss karena gesekan (mayor losses) dan headloss karena adanya belokan, katup, pembesaran penampang dan lain sebagainya (minor losses).
Headloss major
Dari analisa dimensi, headloss major merupakan fungsi dari bilangan Reynold, perbandingan panjang dan diameter dalam (L/d) dan perbandingan tingkat kekasaran pipa terhadap diameter (ε/d). Kemudian bilangan Reynold dan kekasaran pipa didefinisikan sebagai faktor gesekan (f) yang besarnya ditentukan dari eksperimen L.F Moody yang dipublikasikan dalam bentuk grafik. Sehingga besarnya headloss major dapat dirumuskan sebagi berikut :
Headloss minor
Aliran fluida dalam suatu saluran mungkin melewati beberapa sambungan, percabangan, saluran masuk, belokan dan kelengkapan sistem saluran lainnya. Pada saat melewati keadaan seperti diatas maka aliran tersebut akan mengalami kerugian – kerugian (losses). Secara umum besarnya headloss minor dapat dinyatakan dengan persamaan sebagai berikut :
dimana harga koefisien kerugian (k) dapat ditentukan dari table / grafik sesuai dengan jenis kelengkapan sistem saluran yang dilewati oleh aliran fluida.
Kemudian jika rumus headloss mayor dan headloss minor dimasukan kedalam persamaan bernoulli, maka akan menjadi sebagai berikut:
Contoh soal sederhana :
Tabung setinggi 30 cm diisi penuh dengan fluida. Tentukanlah tekanan hidrostatis pada dasar tabung, jika g = 10 m/s² dan tabung berisi:
a. air,
b. raksa, dan
c. gliserin.
Penyelesaian soal :
Diketahui h = 30 cm = 0.3 m , g=10 m/s² , maka :
a. Untuk tekanan hidrostatik fluida air dapat diselesaikan dengan ;
Phidrostatik air = massa jenis air * gravitasi * ketinggian fluida air
Phidrostatik air = 1000 (kg/m3) * 10 (m/s²) * 0.3 m
Phidrostatik air = 3000 kg/m.s² = 3000 Pa
b. Untuk tekanan hidrostatik fluida raksa dapat diselesaikan dengan ;
Phidrostatik raksa = massa jenis raksa * gravitasi * ketinggian fluida raksa
Phidrostatik raksa = 13600 (kg/m3) * 10 (m/s²) * 0.3 m
Phidrostatik raksa = 40800 kg/m.s² = 40800 Pa
c. Untuk tekanan hidrostatik fluida gliserin dapat diselesaikan dengan ;
Phidrostatik gliserin = massa jenis gliserin * gravitasi * ketinggian fluida gliserin
Phidrostatik gliserin = 1260 (kg/m3) * 10 (m/s²) * 0.3 m
Phidrostatik gliserin = 3780 kg/m.s² = 3780 Pa
Soal berikutnya :
Jika diketahui tekanan udara luar 1 atm dan g = 10 m/s², tentukanlah tekanan total di bawah permukaan danau pada kedalaman:
a. 10 cm,
b. 20 cm, dan
c. 30 cm.
Penyelesaian :
Diketahui tekanan atmosferik 1 atm = 101325 Pa , g = 10 m/s², maka :
a. Untuk tekanan total pada kedalaman 0.1 m sebagai berikut :
Tekanan total dibawah permukaan danau = Tekanan atmosferik + Tekanan hidrostatik
Tekanan total dibawah permukaan danau =101325 kg/ms² + (1000 kg/m3*10 m/s²*0.1 m)
Tekanan total dibawah permukaan danau = 102325 kg/m.s² = 102325 Pa
b. Untuk tekanan total pada kedalaman 0.2 m sebagai berikut :
Tekanan total dibawah permukaan danau = Tekanan atmosferik + Tekanan hidrostatik
Tekanan total dibawah permukaan danau =101325 kg/ms² + (1000 kg/m3*10 m/s²*0.2 m)
Tekanan total dibawah permukaan danau = 103325 kg/m.s² = 102325 Pa
c. Untuk tekanan total pada kedalaman 0.3 m sebagai berikut :
Tekanan total dibawah permukaan danau = Tekanan atmosferik + Tekanan hidrostatik
Tekanan total dibawah permukaan danau =101325 kg/ms² + (1000 kg/m3*10 m/s²*0.3 m)
Tekanan total dibawah permukaan danau = 104325 kg/m.s² = 104325 Pa
Bagi yang ingin berlatih untuk soal selanjutnya silahkan, berikut salah satu diantaranya :
Selamat belajar :)










Tidak ada komentar:
Posting Komentar